Khudhair M. Al-kanany 1; Aqeel H. Abdulwahid 1; Majid Ibrahim 1*
1, Department of Horticulture and Landscape, College of Agriculture, University of Basrah, Iraq
E-mail:
majid.abdulhameedl@uobasrah.edu.iq
Received: 02/11/2022
Acceptance: 10/12/2022
Available Online: 11/12/2022
Published: 01/01/2023

Manuscript link
http://dx.doi.org/10.30493/DAS.2022.368280.1067
Abstract
Barhi is one of the finest cultivars of dates, characterized by the high prices of fruits and offshoots. This experiment aims to study the role of brassinosteroid on the physical characteristics of Barhi date palm tissue culture (callus and embryos) under polyethylene glycol induced water stress. For this purpose, date palm tissues were cultured on a simulated dehydration medium using concentrations of polyethylene glycol (0, 10, 20, and 30 g.L-1) which interacted with four concentrations of brassinosteroid (0, 0.2, 0.5, and 1 µM). A decrease in the fresh weight of callus and embryo cultures was observed with higher polyethylene glycol concentrations. However, brassinosteroid treatment showed a significant increase in fresh weight compared to brassinosteroid-free treatments at similar polyethylene glycol concentrations. On the other hand, water content decreased significantly under increased polyethylene glycol concentrations with no apparent influence of brassinosteroid treatments. The dry matter and tissue activity significantly increased under brassinosteroid application combined with polyethylene glycol induced water stress. Furthermore, brassinosteroid interacting with polyethylene glycol decreased the browning level in both culture types. This experiment concludes that brassinosteroid treatment can significantly decrease the harmful effect of water stress due to polyethylene glycol’s presence in the nutrition media. Additionally, the findings of this study highlight the importance of brassinosteroids and polyethylene glycol in protecting palm culture from browning and maintaining in vitro activity.
Keywords: Barhi date palm, Callus, Embryogenesis, Polyethylene glycol, Brassinosteroid, Water stress
Introduction
Date palm (Phoenix dactylifera L.) is one of the oldest plants worldwide and is considered economically vital in many regions through the date yield and other industrial uses of the palm. Iraq is a major date palm producer, with more than 600 cultivars cultivated in the country [1-3]. Barhi is the most important date palm cultivar, desired by consumers for its soft texture, absence of tannins, and palatability during all three ripening stages (Khalal, Ratab, and Temer) [4].
Micropropagation is the best method for date palm propagation, which is divided into two main methods: organogenesis and somatic embryogenesis. The somatic embryogenesis method passes indirectly through callus production, then the production of somatic embryos, followed by other production stages to reach a complete plant [5-7].
Date palm cultivation is widespread in arid and semi-arid areas, where water resources are scarce, resulting in drought stress. This abiotic stress negatively affects plants by reducing the developmental and physiological processes and leading to plant weakness and reduced yield. Water stress significantly damages the agricultural sector in developing countries, which depend mainly on agriculture for their livelihood [8].
Brassinosteroids (BRs) are a group of plant steroid hormones first identified in the pollen of Brassicanapus. BRs have essential roles in various physiological and developmental processes at different plant stages, as they can promote elongation and cell division, photosynthesis, xylem differentiation, seed germination, and fruit ripening [9, 10]. It is also reported that BRs can be used in different stages of plant life to resist or overcome the negative effects of abiotic stresses such as water stress [11], highlighting the importance of these hormones in drought stress research. In this context, polyethylene glycol (PEG) at 5-40% w/v can be utilized to reduce the water availability to the plant due to its high molecular [12]. Therefore, PEG can be used to simulate drought under in vitro conditions. Considering the previous points, this experiment aims to investigate BR effects on the physical characteristics of date palm tissues at the callus and embryonic stages under PEG-induced water stress.
Materials and Methods
Plant material
The experiment was conducted in the tissue culture laboratory of the Basra Governorate Agriculture Directorate in 2021-2022. Work was carried out on two stages (callus and embryos) from the micropropagation of Barhi date palm cultivar by indirect somatic embryogenesis. The explants were obtained from the apical bud of eight years old, healthy, and suitable size Barhi date offshoots. For callus induction, the explants were cultured in Murashige and Skoog (MS) medium [13] supplemented with sucrose (50 g.L-1), naphthalene acetic acid (NAA) (12 mg.L-1), benzyl adenine (BA) (6 mg.L-1) and agar (7 g.L-1) at a pH of 5.7 and incubated in the dark for three months at 27 C° with re-culturing every one month on the same medium. The obtained callus was multiplied by subculturing it in the same medium components with reduced plant growth regulators (NAA 6 mg.L-1 and BA 1 mg.L-1) and incubation at 27 C° in the dark for three months with reculturing every month. Embryos were formed by subculturing callus on different nutrient medium supplemented with sucrose (40 g.L-1), naphthalene acetic acid (NAA) (3 mg.L-1), 2i-p (0.5 mg.L-1) and agar (7 g.L-1) at a pH of 5.7 for two months and reculturing every month on the same medium with incubating in the dark at 27 C°.
Polyethylene glycol and brassinosteroid treatments
PEG and BR were added to the MS (4.4 mg.L-1) medium containing sucrose (40 g.L-1) and agar (7 g.L-1). The callus (200 mg) and somatic embryos (5 embryos) were cultured (15 replicates for each treatment) on four PEG concentrations (0, 10, 20, and 30 g.L-1), and four concentrations of BR (0, 0.2, 0.5, and 1 µM) for eight weeks and incubated in the dark. The BR and PEG-free treatment was considered a control treatment (C) (Table 1).

Physical characteristics of cultures
Fresh and dry weight
The fresh weight (FW) of cultured tissues was determined after 8 weeks of BR and PEG treatment. Dry weight (DW) was determined by placing the fresh samples in an oven at 70 C° for 72 hours until a stable weight was established. Both fresh and dry weights were measured using a digital balance (PHOENIX AB-224).
Dry matter percentage (DM%) and water content (WC%) were determined by applying the following equations:

Browning and activity estimation
Tissue browning is the accumulation and subsequent oxidation of phenolic compounds in the tissue and culture media, which can be seen in cultured tissue. Tissue activity indicates that the plant tissue is free of contamination, browning, and vitrification.
Visual inspections were conducted 8 weeks after BR and PEG treatments to determine browned and active samples. Tissue activity and browning were then estimated in each replicate using the following equations:

Statistical analysis
The experiment was conducted in a factorial design with two factors (PEG and BR) with a completely randomized design (CRD) and 15 replicates for each treatment.
The results were analyzed using ANOVA analysis of variance, and the means were compared using the least significant difference (LSD) at a probability level of 1% using SPSS software [14].
Results
Fresh weight
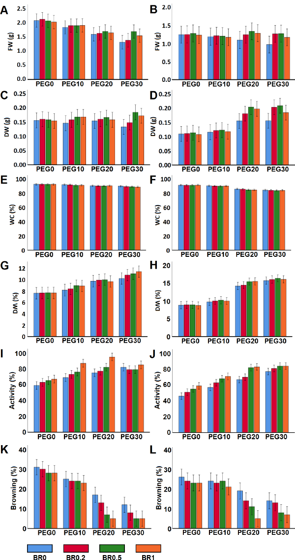
Although a general decrease in the fresh weight of callus tissue was observed under increased water stress (increased PEG content), a significant increase in callus fresh weight was observed in E3 and E4 treatments compared to E1 (Fig. 1 A). On the other hand, the fresh weight of embryonic tissue appeared un-effected by the increased PEG content. However, slight increases in the fresh weight of embryonic tissues were recorded under higher BR and PEG treatments compared to BR-free treatments (Fig. 1 B).
Dry weight
Significant increases in the dry weight of tissues at the callus stage were noticed in E3 and E4 treatments compared to the E1 treatment (Fig. 1 C). Notable increases in the dry weight of embryonic tissues were observed under increased PEG content (20 and 30 g.L-1) and high BR treatments (0.5 and 1 µM) compared to the BR-free treatments at similar PEG content (Fig. 1 D).
Water content percentage
No apparent differences in the water content were observed at the callus stage in BR-treated samples compared to the BR-free treatments at similar PEG levels. However, higher PEG levels induced a significant decrease in water content compared to the control (Fig. 1 E). Similarly, significant decreases in the WC% of embryonic tissues were observed in 20 and 30 g.L-1 PEG treatments compared to the control treatment. Furthermore, BR-treated samples D3 and D4 had a significantly lower water content compared to D1 (Fig. 1 F).
Dry matter percentage
Significant increases in the DM% of callus and embryonic tissues were observed by increasing PEG content of the medium. Although BR treatment resulted in higher dry matter content compared to BR-free treatments, such as E2-E4 in the callus stage and D3-D4 in the embryonic stage, these increases were insignificant (Fig. 1 G and H).
Callus and embryos activity
An overall increase in tissue activity was observed by increasing PEG content. Furthermore, increased tissue activity was observed by increasing BR content at each PEG level (Fig. 1 I and J). Callus activity increased in B4 and D4 treatments compared to their respective BR-free treatments (B1 and D1). A significant embryo activity increase in B3-B4 and D3-D4 treatments was recorded compared to the control and their respective BR-free (B1 and D1) treatments.
Callus and embryos browning
The browning at callus and embryonic stages significantly decreased by increasing PEG content. Furthermore, increasing BR content decreased browning at each PEG level (Fig. 1 K and L). In fact, significantly lower browning levels were observed in C3 and C4 treatments compared to C1 treatments.

Discussion
The observed decrease in the fresh weight of tissue under PEG treatment is a typical response to drought stress [15]. However, an increase in tissues’ fresh weight was noticed in BR treatments compared to BR-free treatments, which can be attributed to the essential role of the BR in the various developmental processes, including the growth processes [16][17]. In fact, BR is a significant influencer in cell division and elongation [18][19].
The increase in dry matter in this study is related to the imposed water stress due to the decrease in the water content of the tissues [20][21]. In this context, BR is known to increase dry matter and reduce water content [22]. BR contributes significantly to osmosis adaptation in plants grown under water stress by promoting carbohydrate (sucrose and starch) accumulation [23][24].
Browning is one of the severe problems facing the micro-propagation of date palm tissues, especially in somatic embryogenesis [25]. The occurrence of browning is attributed to caffeoyl shikimic acid accumulation in the plant tissues [26]. PEG protects the plant from browning by increasing the antioxidant enzyme activity and thus contributes to protecting tissues from high phenol levels, which in turn increases tissue activity. Additionally, PEG enhances the replication and renewal potentials in tissue cultures [27]. On the other hand, brassinosteroids protect the tissues from browning and act as mediators to stimulate the gene expression of antioxidative enzymes [28][29]. Therefore, BR and PEG have significant interaction effects in increasing the activity of the tissues and reducing the problem of browning.
Conclusion
The results of this study highlight the positive effect of PEG and BR in increasing the dry matter and tissue activity in callus and embryonic palm cultures. On the other hand, these treatments efficiently reduced the browning, which is a major issue in the micropropagation of date palms. Furthermore, the results refer to the essential role of BR in reducing or eliminating the negative impact of water stress under in vitro conditions.
Conflict of interest statement
The authors declared no conflict of interest.
Funding statement
The authors declared that no funding was received in relation to this manuscript.
Data availability statement
The authors declared that all related data are included in the article.
References
| 1 | Ibrahim MA, Waheed AM, Al-Taha HA. Plantlet regeneration from root segments of date palm tree (Phoenix dactylifera L. cv. Barhee) producing by in vitro culture. Adv. Agric. Bot. 2013;5(1):45-50. |
| 2 | Krueger RR. Date Palm (Phoenix dactylifera L.) Biology and Utilization. InThe Date Palm Genome. Springer, Cham. 2021;1:3-28. DOI |
| 3 | Świąder K, Białek K, Hosoglu I. Varieties of date palm fruits (Phoenix dactylifera L.), their characteristics and cultivation®. Postępy Techniki Przetwórstwa Spożywczego. 2020. |
| 4 | Ahmed ZF, Al Shaibani FY, Kaur N, Maqsood S, Schmeda-Hirschmann G. Improving fruit quality, bioactive compounds, and storage life of date palm (Phoenix dactylifera L., cv. Barhi) using natural elicitors. Horticulturae. 2021;7(9):293. DOI |
| 5 | Al-Mayahi AM, Ali AH. Effects of different types of gelling agents on in vitro organogenesis and some physicochemical properties of date palm buds, Showathy cv. Folia Oecologica. 2021;48(1):110-7. DOI |
| 6 | Al-Ibresam WF, Al-Meer UN. Effect of ammonium and potassium nitrate in some charecteristics of callus and somatic embryos of date palm (Phoenix dactylifera L.) by in vitro. Basrah J. Date Palm Res. 2008;7(2):1-6. |
| 7 | Ibrahim MA, Al-Taha H, AL-ALI ZT. Effect of casein hydrolysate and paclobutrazol on embryogenesis of date palm (Phoenix dactylifera L.) cv. Nersy by in vitro culture. J. Garmian Univ. 2017;4:395-404. DOI |
| 8 | FAO. Drought and Agriculture. [cited 7 December 2022] Link |
| 9 | Mitchell JW, Mandava N, Worley JF, Plimmer JR, Smith MV. Brassins—a new family of plant hormones from rape pollen. Nature. 1970;225(5237):1065-6. DOI |
| 10 | Ibrahim M. Role of Endogenous and Exogenous Hormones in Bioactive Compounds Production in Medicinal Plants Via In Vitro Culture Technique. In Plant Hormones: Recent Advances, New Perspectives and Applications. IntechOpen. 2022:131-48. DOI |
| 11 | Peres AL, Soares JS, Tavares RG, Righetto G, Zullo MA, Mandava NB, Menossi M. Brassinosteroids, the sixth class of phytohormones: a molecular view from the discovery to hormonal interactions in plant development and stress adaptation. Int. J. Mol. Sci. 2019;20(2):331. DOI |
| 12 | Osmolovskaya N, Shumilina J, Kim A, Didio A, Grishina T, Bilova T, Keltsieva OA, Zhukov V, Tikhonovich I, Tarakhovskaya E, Frolov A. Methodology of drought stress research: Experimental setup and physiological characterization. Int. J. Mol. Sci. 2018;19(12):4089. DOI |
| 13 | Murashige T, Skoog F. A revised medium for rapid growth and bio assays with tobacco tissue cultures. Physiol. Plant. 1962;15(3):473-97. DOI |
| 14 | IBM-Corp. IBM SPSS Statistics for Windows, Armonk, NY: IBM Corp. 2017. |
| 15 | Ratnakumar P, Vadez V. Groundnut (Arachis hypogaea) genotypes tolerant to intermittent drought maintain a high harvest index and have small leaf canopy under stress. Funct. Plant Biol. 2011;38(12):1016-23. DOI |
| 16 | Divi UK, Krishna P. Brassinosteroid: a biotechnological target for enhancing crop yield and stress tolerance. N. Biotechnol. 2009;26(3-4):131-6. DOI |
| 17 | Kahlaoui B, Hachicha M, Misle E, Hanchi B, Teixeira J. Improvement of Crop Production Under Saline Stress by a Biohydraulic Approach. In Improvement of Crops in the Era of Climatic Changes. Springer, New York. 2014:231-45. DOI |
| 18 | Jager CE, Symons GM, Ross JJ, Smith JJ, Reid JB. The brassinosteroid growth response in pea is not mediated by changes in gibberellin content. Planta. 2005;221(1):141-8. DOI |
| 19 | Matusmoto T, Yamada K, Yoshizawa Y, Oh K. Comparison of effect of brassinosteroid and gibberellin biosynthesis inhibitors on growth of rice seedlings. Rice Sci. 2016;23(1):51-5. DOI |
| 20 | Castañeda-Murillo CC, Rojas-Ortiz JG, Sánchez-Reinoso AD, Chávez-Arias CC, Restrepo-Díaz H. Foliar brassinosteroid analogue (DI-31) sprays increase drought tolerance by improving plant growth and photosynthetic efficiency in lulo plants. Heliyon. 2022;8(2):e08977. DOI |
| 21 | Karim SA, Qadir SA, Sabr HA. Study some of morphological and physiological traits of Kurrajong Brachychiton populneus (Schott & Endl.) seedlings planted under water stress conditions. Basrah J. Agric. Sci. 2020 Jun 27;33(1):213-20. DOI |
| 22 | Kumari S, Thakur A. The Effects of Water Stress and Brassinosteroid on Apple Varieties. Int. J. Econ. Plants. 2019;6(1):1-6. DOI |
| 23 | Khamsuk O, Sonjaroon W, Suwanwong S, Jutamanee K, Suksamrarn A. Effects of 24-epibrassinolide and the synthetic brassinosteroid mimic on chili pepper under drought. Acta Physiol. Plant. 2018;40(6):1-2. DOI |
| 24 | Pérez-Borroto LS, Toum L, Castagnaro AP, González-Olmedo JL, Coll-Manchado F, Pardo EM, Coll-García Y. Brassinosteroid and brassinosteroid-mimic differentially modulate Arabidopsis thaliana fitness under drought. Plant Growth Regul. 2021;95(1):33-47. DOI |
| 25 | Abohatem M, Zouine J, El Hadrami I. Low concentrations of BAP and high rate of subcultures improve the establishment and multiplication of somatic embryos in date palm suspension cultures by limiting oxidative browning associated with high levels of total phenols and peroxidase activities. Sci. Hortic. 2011;130(1):344-8. DOI |
| 26 | Loutfi K, El Hadrami I. 4.3 Phoenix dactylifera Date Palm. In Biotechnology in Agriculture Series, No. 29, Biotechnology of Fruit and Nut Crops. The Doyle Foundation, Glasgow, Scotland. 2005:144. |
| 27 | Munir N, Aftab F. The role of polyethylene glycol (PEG) pretreatment in improving sugarcane’s salt (NaCl) tolerance. Turk. J. Botany. 2009;33(6):407-15. DOI |
| 28 | Bibi N, Ahmed IM, Fan K, Dawood M, Li F, Yuan S, Wang X. Role of brassinosteroids in alleviating toxin-induced stress of Verticillium dahliae on cotton callus growth. Environ. Sci. Pollut. Res. 2017;24(13):12281-92. DOI |
| 29 | Naveen N, Kumari N, Avtar R, Jattan M, Ahlawat S, Rani B, Malik K, Sharma A, Singh M. Evaluation of Effect of Brassinolide in Brassica juncea Leaves under Drought Stress in Field Conditions. Horticulturae. 2021;7(11):514. DOI |
Cite this article:
Al-kanany, K., Abdulwahid, A., Ibrahim, M. Physical characteristics of in vitro date palm cultures under the influence of polyethylene glycol induced water stress and brassinosteroid treatment. DYSONA – Applied Science, 2023;4(1): 21-27. doi: 10.30493/das.2022.368280.1067
